
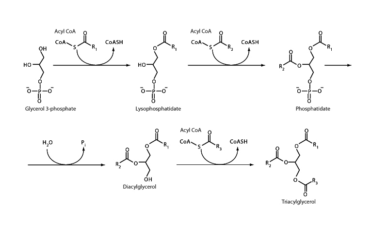
With their high energy thioester bonds, acyl CoAs are activated for acyl substitution. Triglyceride synthesis, which takes place primarily in the liver, employs three acyl CoAs to form the three ester linkages of a triglyceride.
The process of triglyceride synthesis begins with transfer of the acyl group of acyl CoA to glycerol-3-phosphate, forming lysophosphatidate. Lysophosphatidate is next acylated once again in like manner with acyl CoA to yield phosphatidate, the common precursor of both triglycerides and phosphoglycerides. These two acylations were catalyzed by glycerol phosphate acyltransferase, but for the rest of triglyceride synthesis, the process will continue through the activity of the enzymes of the endoplasmic reticulum-bound triacylglycerol synthetase complex. Phosphatidate is hydrolyzed on the endoplasmic reticulum to yield a diacylglycerol and then acylated to form the triacylglycerol.