
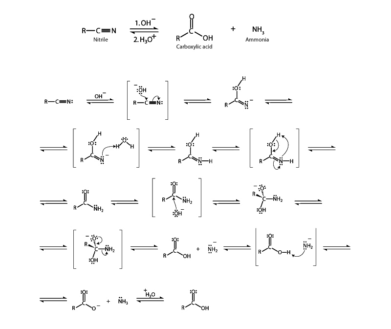
The electropositive nitrile carbon is similar to a carbonyl carbon in that it can accept the approach of a nucleophile for addition, although the overall process is significantly different with nitriles. Nitrile hydrolysis begins with the nucleophilic addition of hydroxide anion to the nitrile. The first intermediate formed then takes a proton from water and subsequently undergoes an intramolecular rearrangement to form an amide. This amide, however, is temporary in a strong base environment, becoming transformed through hydrolysis along the acyl substitution pathway to form the carboxylate anion.
* Nitrile hydrolysis plays an important part in the Strecker amino acid synthesis.