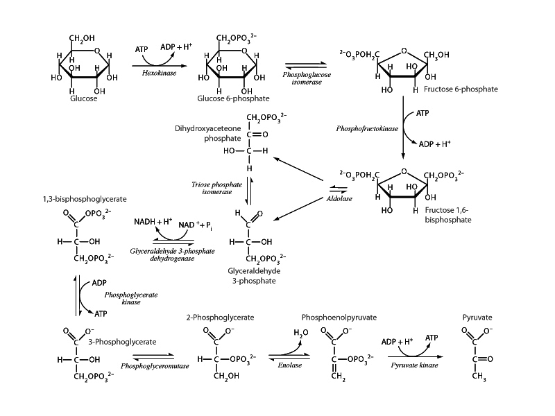
Glycolysis