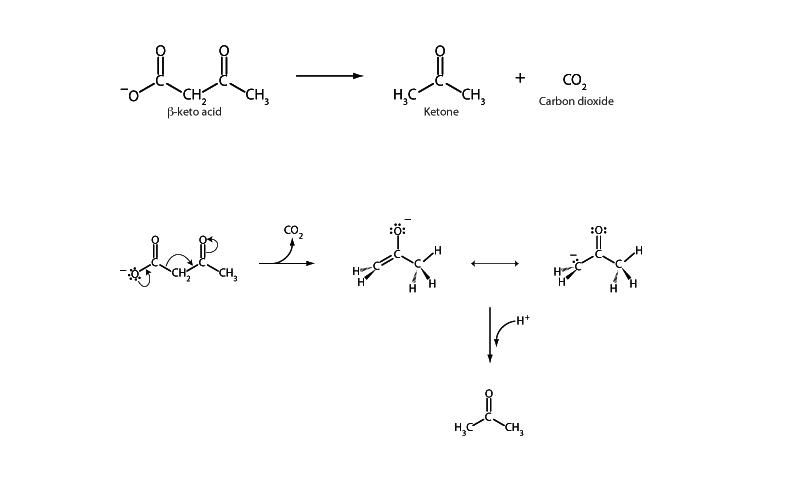
Decarboxylation of a β-Keto Acid

A β-keto acid is a carboxylic acid containing a carbonyl group two bonds away from the carboxyl group. β-keto acids undergo thermal decarboxylation (lose carbon dioxide) quite easily, because the immediate product of decarboxylation will be a resonant stabilized enolate anion. Tautomerism of the enolate leads to a ketone.