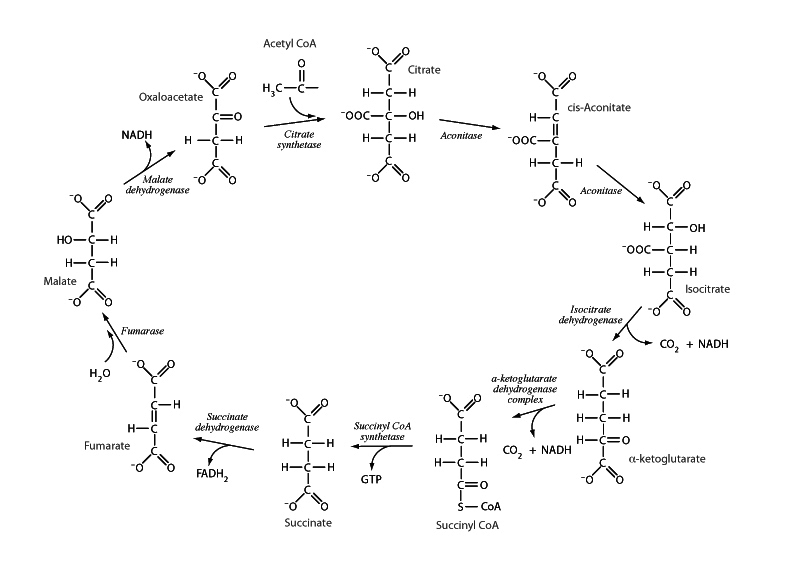
Citric Acid Cycle