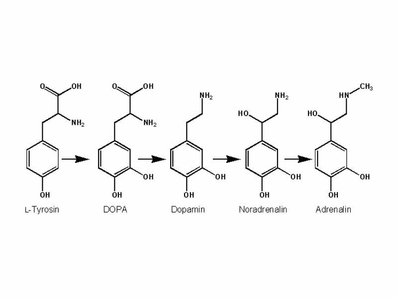
Epinephrine is synthesized from norepinephrine in a synthetic pathway shared by all catecholamines.

Click this LINK to visit the original image and attribution information. Right click on the image to save the 800px teaching JPEG.



Epinephrine is synthesized from norepinephrine in a synthetic pathway shared by all catecholamines.