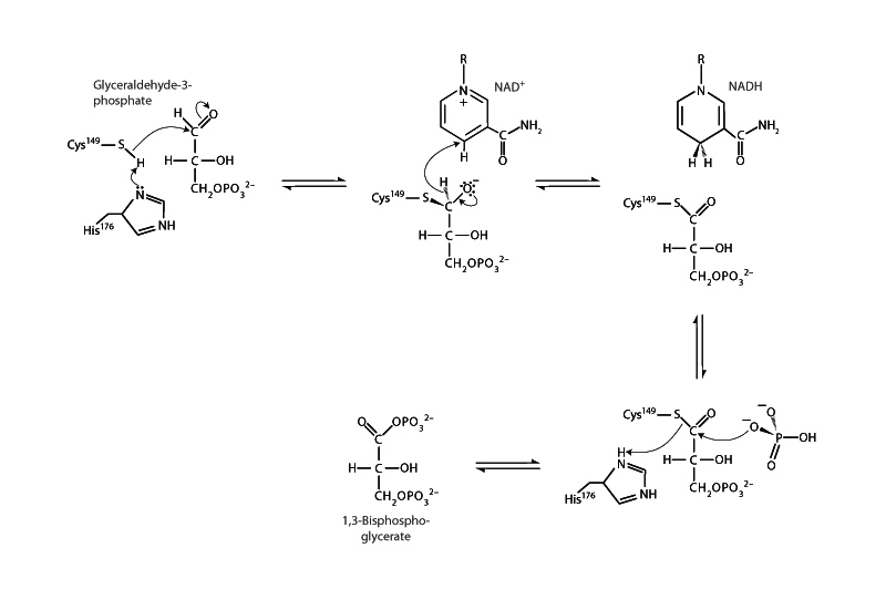
Glyceraldehyde 3-phosphate dehydrogenase.

Published by the Integrated MCAT Course under a Creative Commons Attribution NonCommercial ShareAlike License.



Glyceraldehyde 3-phosphate dehydrogenase.