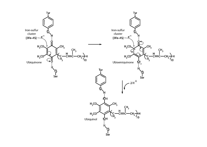
Reduction of ubiquinone by succinate dehydrogenase.

Published by the Integrated MCAT Course under a Creative Commons Attribution NonCommercial ShareAlike License.



Reduction of ubiquinone by succinate dehydrogenase.