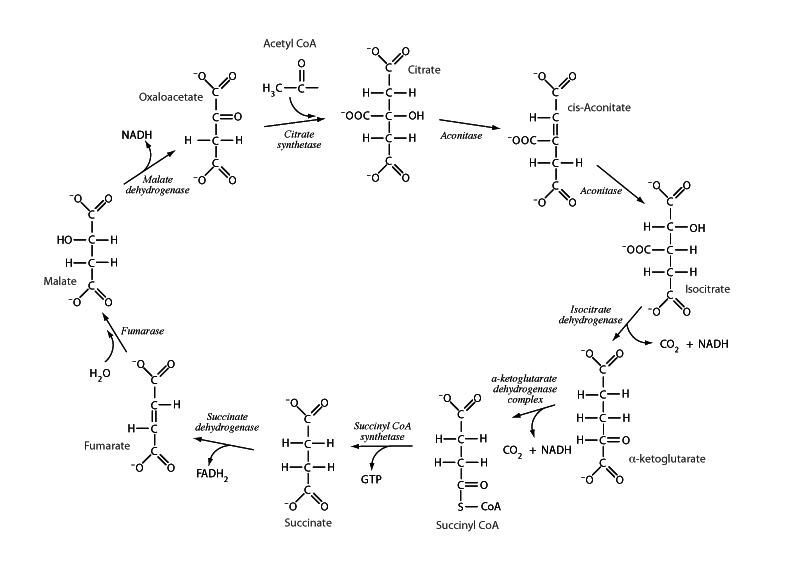
Citric acid cycle.

Published by the Integrated MCAT Course under a Creative Commons Attribution NonCommercial ShareAlike License.



Citric acid cycle.