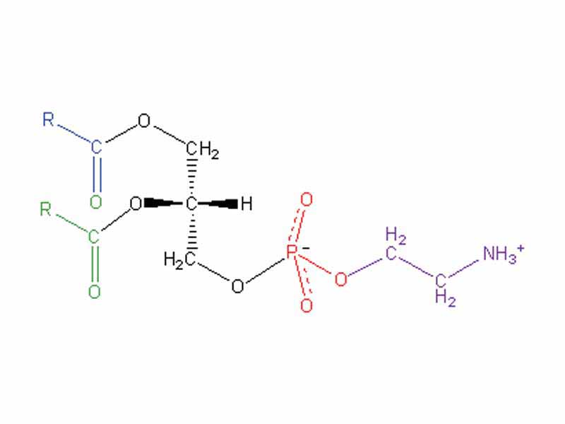
Structural formula of phosphatidyl ethanolamine (Blue/Green: Fatty acid, Black: Glycerol backbone, Red: phosphate, Purple: ethanolamine)

Click this LINK to visit the original image and attribution information. Right click on the image to save the 800px teaching JPEG.



Structural formula of phosphatidyl ethanolamine (Blue/Green: Fatty acid, Black: Glycerol backbone, Red: phosphate, Purple: ethanolamine)