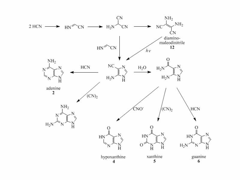
Oro, Orgel and co-workers have shown that four molecules of HCN tetramerize to form diaminomaleodinitrile (12), which can be converted into almost all important natural occurring purines.

Click this LINK to visit the original image and attribution information. Right click on the image to save the 800px teaching JPEG.



Oro, Orgel and co-workers have shown that four molecules of HCN tetramerize to form diaminomaleodinitrile (12), which can be converted into almost all important natural occurring purines.