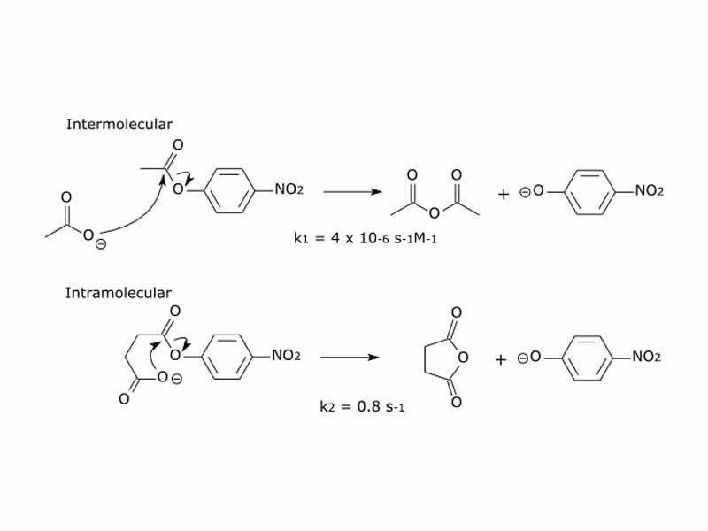
Similar reactions will occur far faster if the reaction is intramolecular. The effective concentration of acetate in the intramolecular reaction can be estimated as k2/k1 = 2 x 105 Molar.

Click this LINK to visit the original image and attribution information. Right click on the image to save the 800px teaching JPEG.



Similar reactions will occur far faster if the reaction is intramolecular. The effective concentration of acetate in the intramolecular reaction can be estimated as k2/k1 = 2 x 105 Molar.