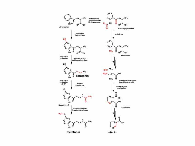
Metabolism of L-tryptophan into serotonin and melatonin (left) and niacin (right). Transformed functional groups after each chemical reaction are highlighted in red.

Click this LINK to visit the original image and attribution information. Right click on the image to save the 800px teaching JPEG.



Metabolism of L-tryptophan into serotonin and melatonin (left) and niacin (right). Transformed functional groups after each chemical reaction are highlighted in red.