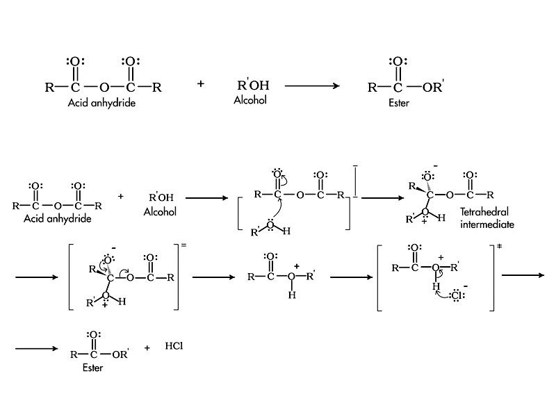
Esterification of acid anhydrides.

Published by the Integrated MCAT Course under a Creative Commons Attribution NonCommercial ShareAlike License.



Esterification of acid anhydrides.