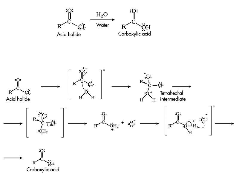
Hydrolysis of acid halides.

Published by the Integrated MCAT Course under a Creative Commons Attribution NonCommercial ShareAlike License.



Hydrolysis of acid halides.