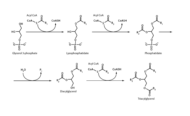
Triglyceride synthesis.

Published by the Integrated MCAT Course under a Creative Commons Attribution NonCommercial ShareAlike License.



Triglyceride synthesis.