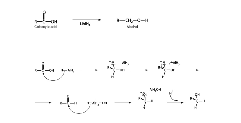
Reduction of carboxylic acids.

Published by the Integrated MCAT Course under a Creative Commons Attribution NonCommercial ShareAlike License.



Reduction of carboxylic acids.