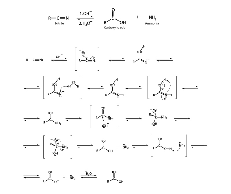
Nitrile hydrolysis.

Published by the Integrated MCAT Course under a Creative Commons Attribution NonCommercial ShareAlike License.



Nitrile hydrolysis.