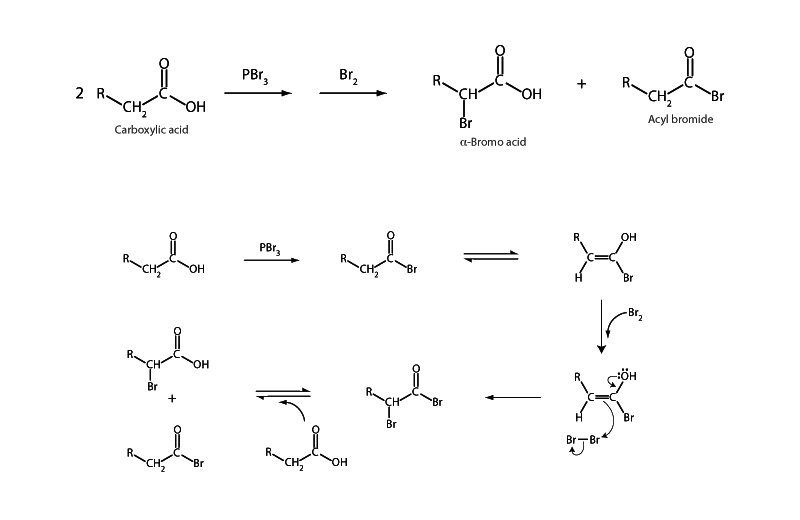
Hell Volhard Zelinsky

Published by the Integrated MCAT Course under a Creative Commons Attribution NonCommercial ShareAlike License.



Hell Volhard Zelinsky