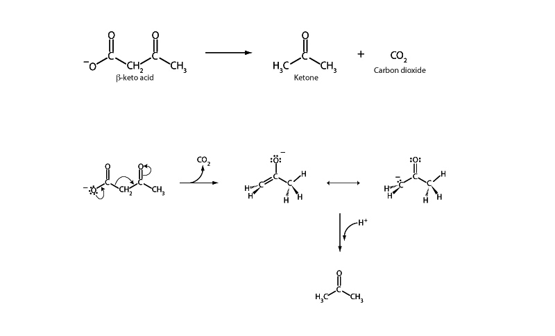
Decarboxylation of beta keto acid

Published by the Integrated MCAT Course under a Creative Commons Attribution NonCommercial ShareAlike License.



Decarboxylation of beta keto acid