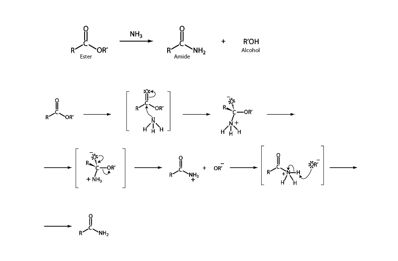
Aminolysis of ester.

Published by the Integrated MCAT Course under a Creative Commons Attribution NonCommercial ShareAlike License.



Aminolysis of ester.