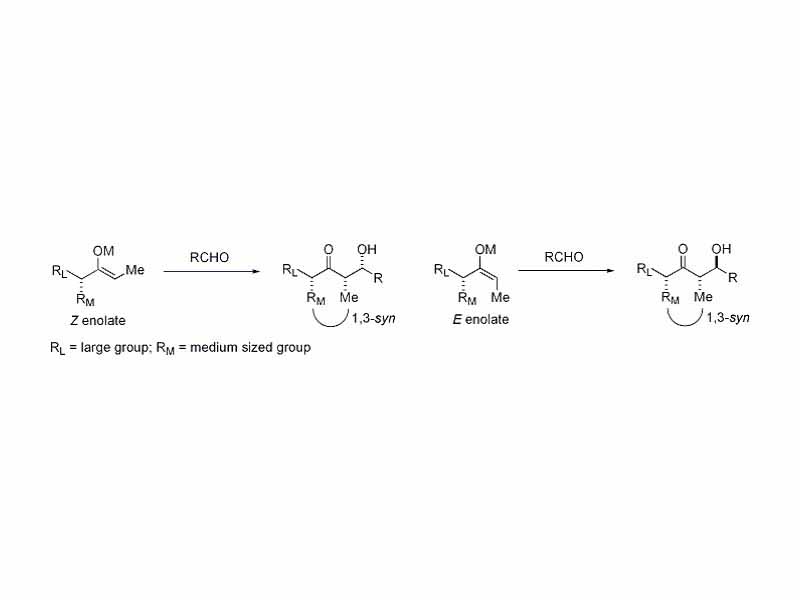
Substrate based stereocontrol in the aldol reaction

Click this LINK to visit the original image and attribution information. Right click on the image to save the 800px teaching JPEG.



Substrate based stereocontrol in the aldol reaction