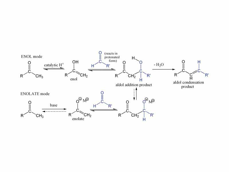
A simple overview of the aldol reaction including the aldol condensation. The scheme shows both enol and enolate modes of addition.

Click this LINK to visit the original image and attribution information. Right click on the image to save the 800px teaching JPEG.



A simple overview of the aldol reaction including the aldol condensation. The scheme shows both enol and enolate modes of addition.