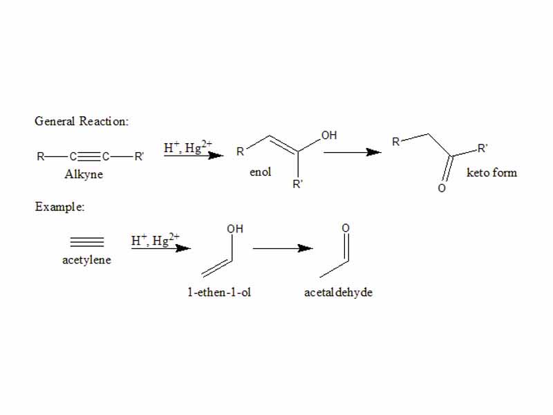
Keto-enol tautomerism is important in hydration of alkynes

Click this LINK to visit the original image and attribution information. Right click on the image to save the 800px teaching JPEG.



Keto-enol tautomerism is important in hydration of alkynes