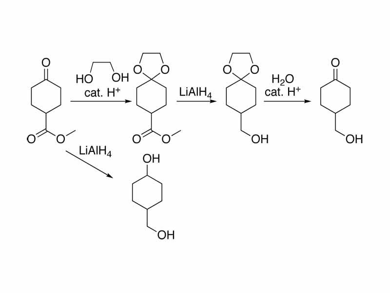
Acetal protection of a ketone during reduction of an ester

Click this LINK to visit the original image and attribution information. Right click on the image to save the 800px teaching JPEG.



Acetal protection of a ketone during reduction of an ester