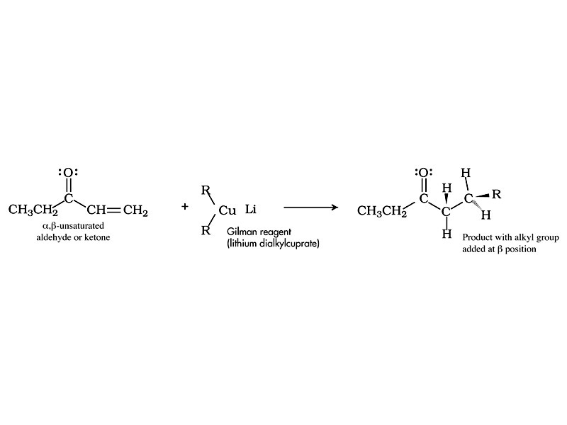
Conjugate Addition of Gilman Reagents

Published by the Integrated MCAT Course under a Creative Commons Attribution NonCommercial ShareAlike License.



Conjugate Addition of Gilman Reagents