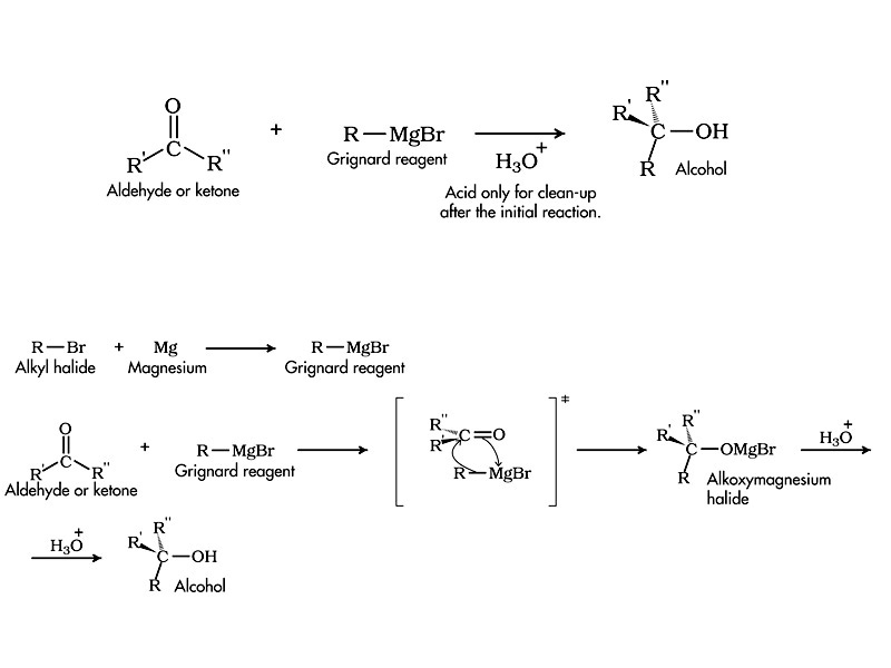
Reaction of Grignard Reagents with Aldehydes and Ketones

Published by the Integrated MCAT Course under a Creative Commons Attribution NonCommercial ShareAlike License.



Reaction of Grignard Reagents with Aldehydes and Ketones