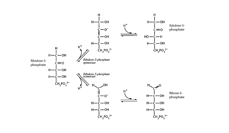
Ribulose-5-phosphate epimerase and isomerase

Published by the Integrated MCAT Course under a Creative Commons Attribution NonCommercial ShareAlike License.



Ribulose-5-phosphate epimerase and isomerase