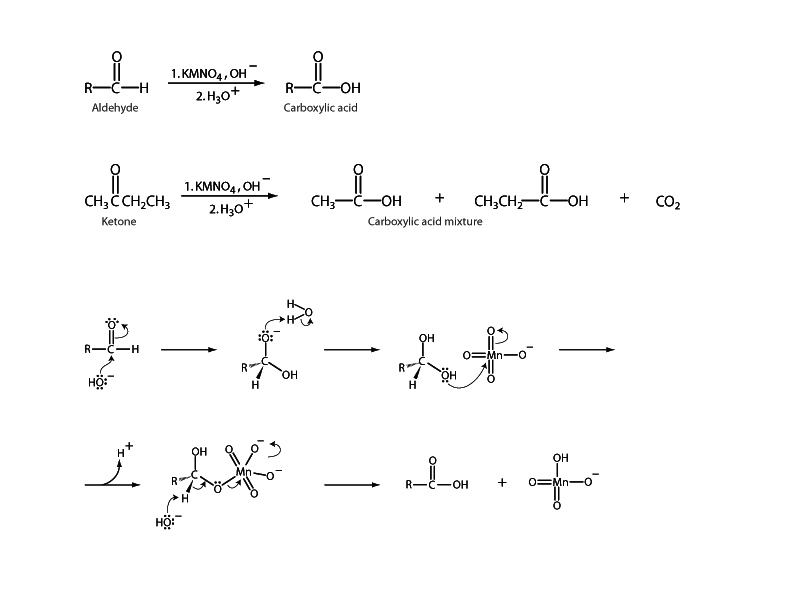
Oxidation of aldehydes and ketones

Published by the Integrated MCAT Course under a Creative Commons Attribution NonCommercial ShareAlike License.



Oxidation of aldehydes and ketones