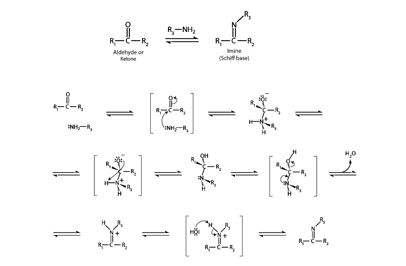
Imine formation

Published by the Integrated MCAT Course under a Creative Commons Attribution NonCommercial ShareAlike License.



Imine formation