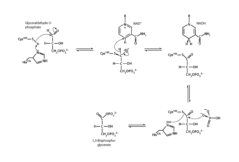
Glyceraldehyde-3-phosphate dehydrogenase

Published by the Integrated MCAT Course under a Creative Commons Attribution NonCommercial ShareAlike License.



Glyceraldehyde-3-phosphate dehydrogenase