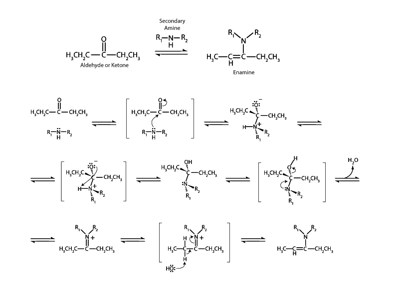
Enamine formation

Published by the Integrated MCAT Course under a Creative Commons Attribution NonCommercial ShareAlike License.



Enamine formation