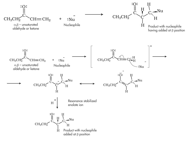
Conjugate nucleophilic addition

Published by the Integrated MCAT Course under a Creative Commons Attribution NonCommercial ShareAlike License.



Conjugate nucleophilic addition