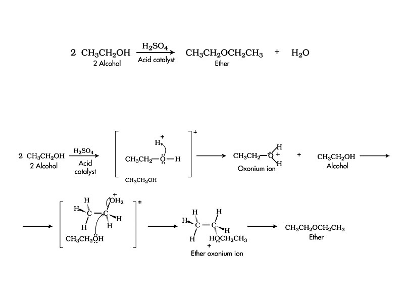
Reaction of Alcohols to form Ethers

Published by the Integrated MCAT Course under a Creative Commons Attribution NonCommercial ShareAlike License.



Reaction of Alcohols to form Ethers