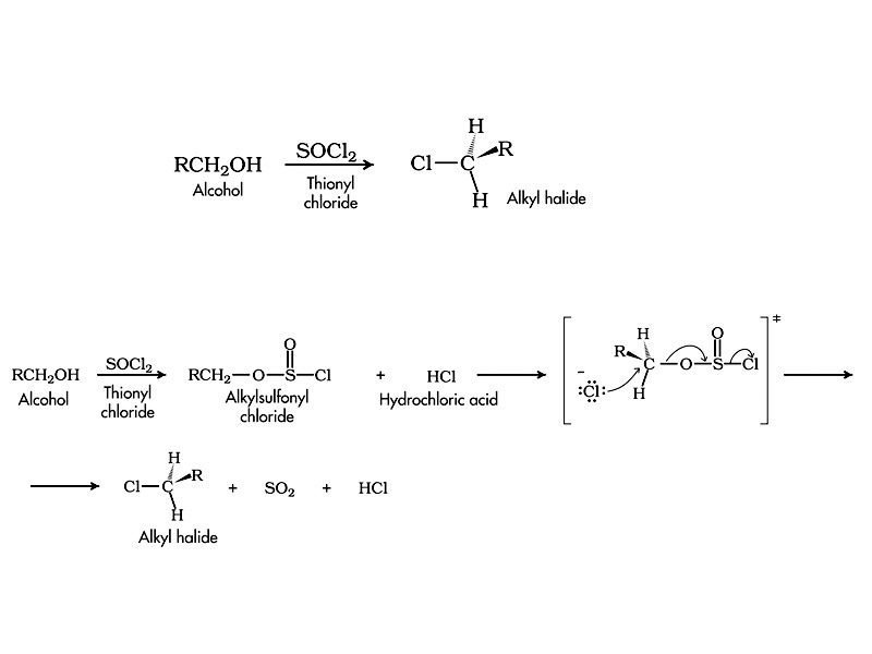
Reaction of Alcohols with Thionyl Chloride

Published by the Integrated MCAT Course under a Creative Commons Attribution NonCommercial ShareAlike License.



Reaction of Alcohols with Thionyl Chloride