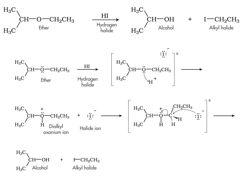
Acid cleavage of ether.

Published by the Integrated MCAT Course under a Creative Commons Attribution NonCommercial ShareAlike License.



Acid cleavage of ether.