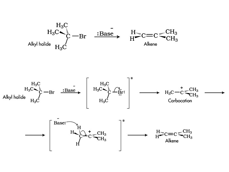
E1 mechanism with alkyl halides.

Published by the Integrated MCAT Course under a Creative Commons Attribution NonCommercial ShareAlike License.



E1 mechanism with alkyl halides.