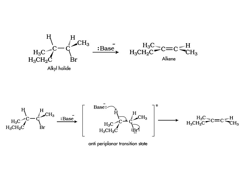
E2 mechanism with alkyl halides.

Published by the Integrated MCAT Course under a Creative Commons Attribution NonCommercial ShareAlike License.



E2 mechanism with alkyl halides.