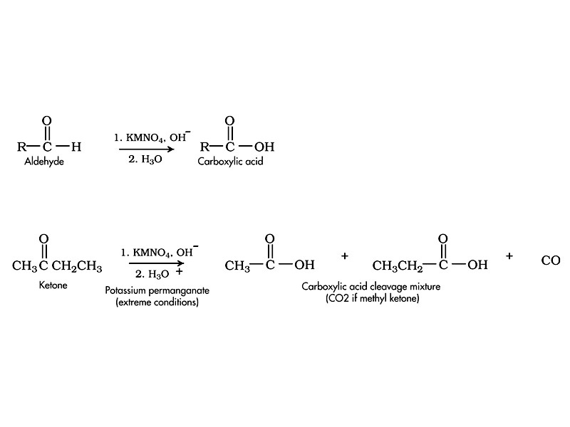
Oxidation of Aldehydes and Ketones

Published by the Integrated MCAT Course under a Creative Commons Attribution NonCommercial ShareAlike License.



Oxidation of Aldehydes and Ketones