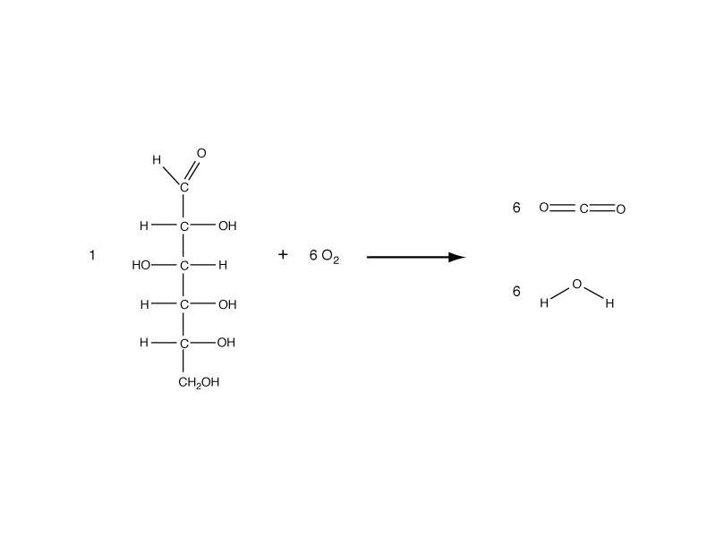
Combustion of glucose reaction.

Published by the Integrated MCAT Course under a Creative Commons Attribution NonCommercial ShareAlike License.



Combustion of glucose reaction.