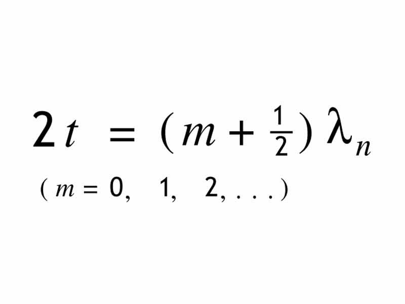
Thin film interference, condition of constructive interference

Published by the Integrated MCAT Course under a Creative Commons Attribution NonCommercial ShareAlike License.



Thin film interference, condition of constructive interference