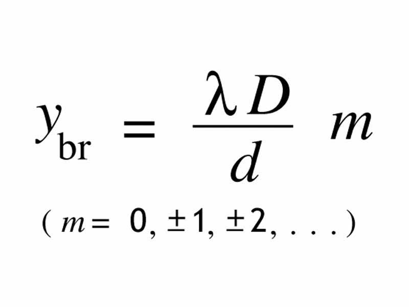
Location of bright bringes in double slit diffraction

Published by the Integrated MCAT Course under a Creative Commons Attribution NonCommercial ShareAlike License.



Location of bright bringes in double slit diffraction