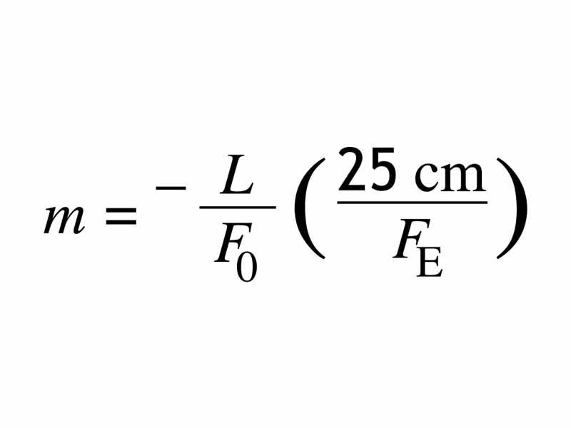
Magnification of compound microscope

Published by the Integrated MCAT Course under a Creative Commons Attribution NonCommercial ShareAlike License.



Magnification of compound microscope