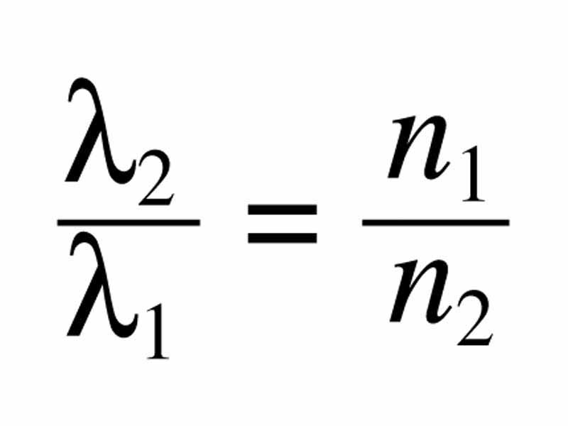
Relationships of wavelengths and indices of refraction between media

Published by the Integrated MCAT Course under a Creative Commons Attribution NonCommercial ShareAlike License.



Relationships of wavelengths and indices of refraction between media