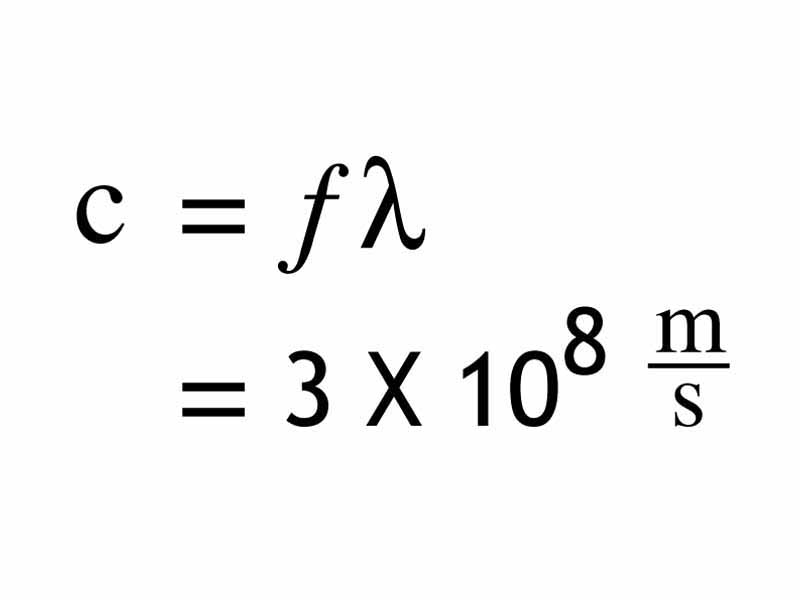
The speed of light

Published by the Integrated MCAT Course under a Creative Commons Attribution NonCommercial ShareAlike License.



The speed of light