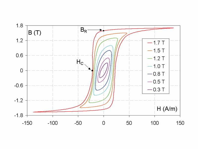
Magnetic hysteresis. A family of B-H loops for grain-oriented electrical steel (BR denotes remanence and HC is the coercivity).

Click this LINK to visit the original image and attribution information. Right click on the image to save the 800px teaching JPEG.



Magnetic hysteresis.  A family of B-H loops for grain-oriented electrical steel (BR denotes remanence and HC is the coercivity).