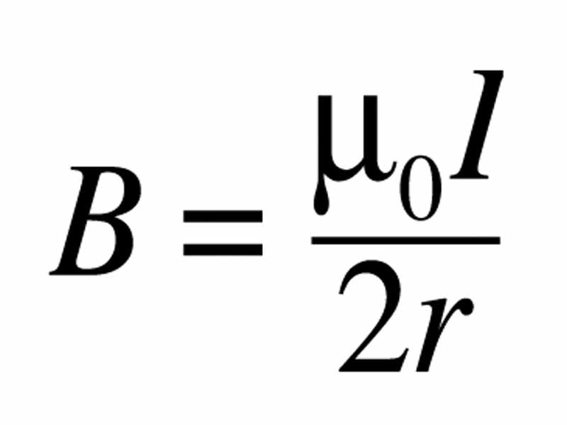
Magnetic field strength at the center of a current loop

Published by the Integrated MCAT Course under a Creative Commons Attribution NonCommercial ShareAlike License.



Magnetic field strength at the center of a current loop