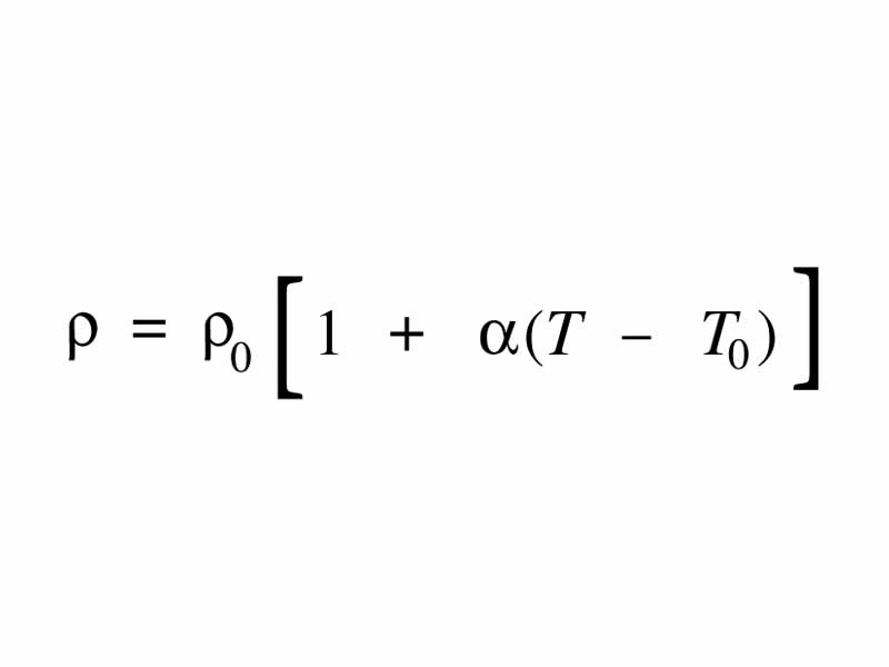
Dependence on temperature of resistivity for metallic conductors

Published by the Integrated MCAT Course under a Creative Commons Attribution NonCommercial ShareAlike License.



Dependence on temperature of resistivity for metallic conductors