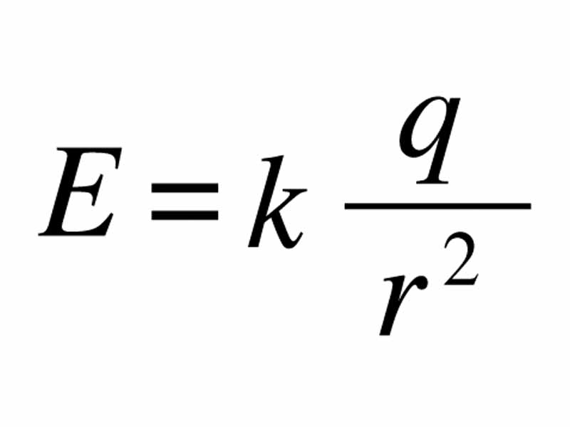
Electric field around a point charge

Published by the Integrated MCAT Course under a Creative Commons Attribution NonCommercial ShareAlike License.



Electric field around a point charge