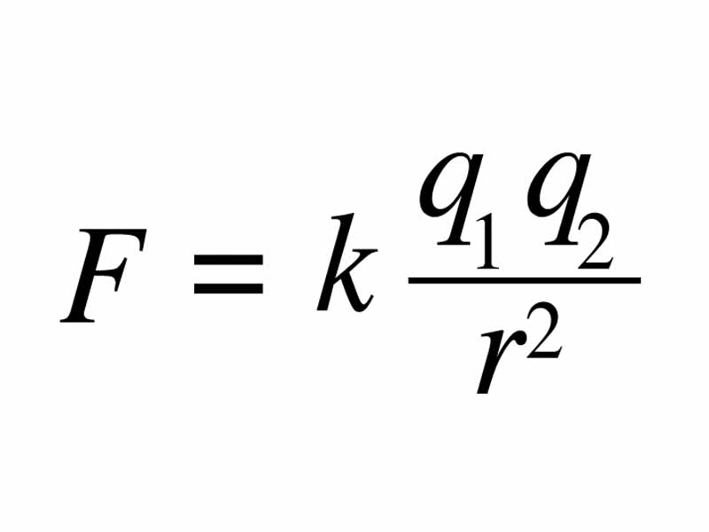
Formula for electrostatic force between two point charges

Published by the Integrated MCAT Course under a Creative Commons Attribution NonCommercial ShareAlike License.



Formula for electrostatic force between two point charges